2024年高考将在6月7日展开,其中,语文、数学科目考试时间分别为7日上午9:00-11:30和下午15:00-17:00;英语考试安排在6月8日下午15:00-17:00进行。小灯塔将在下文为大家分别展示2024年高考中新高考一卷各科答案及试卷解析汇总,包含语数英三门统考科目。

2024年高考新高考一卷各科试卷真题及答案解析
2024年高考共有五类试题,分别为新高考一卷、新高考二卷、全国高考甲卷、全国高考乙卷、自主命题。采用新高考一卷的省份有浙江、湖北、河北、山东、江苏、福建、广东、湖南八个省份。
山东、浙江为新高考3+3模式,前一个“3”为语文、数学、英语科目,是全国统考科目;后一个“3”是从物理、化学、生物、政治、地理、历史六门科目中选择三门科目进行考试,是由本省教育考试院自主命题的。
而江苏、湖北、河北、福建、广东、湖南6省实行新高考“3+1+2”模式,其中的“3”也为语文、数学、英语三门统考科目;“1”为物理和历史中选择一门作为首选科目;“2”是从化学、生物、地理、政治四门科目中选择2门作为再选科目进行考试。物理、历史、化学等6门选考科目均由各省自主命题。

以下将为2024年高考生展示:2024年高考新高考一卷语文、数学、英语答案及试题解析,试卷及答案均为考生考试结束后回忆而成,可供考生们核对答案。
1、2024年高考新高考一卷语文答案及试题解析
语文科目考试安排在6月7日9:00-11:30进行,考试时长共计150分钟,题型包括基础知识选择题、阅读理解、文言文阅读、古诗词鉴赏、现代文写作等。
小灯塔将在语文考试结束后,及时上传2024新高考一卷英语试卷,以便考生回顾考试状态,调整自我心态。








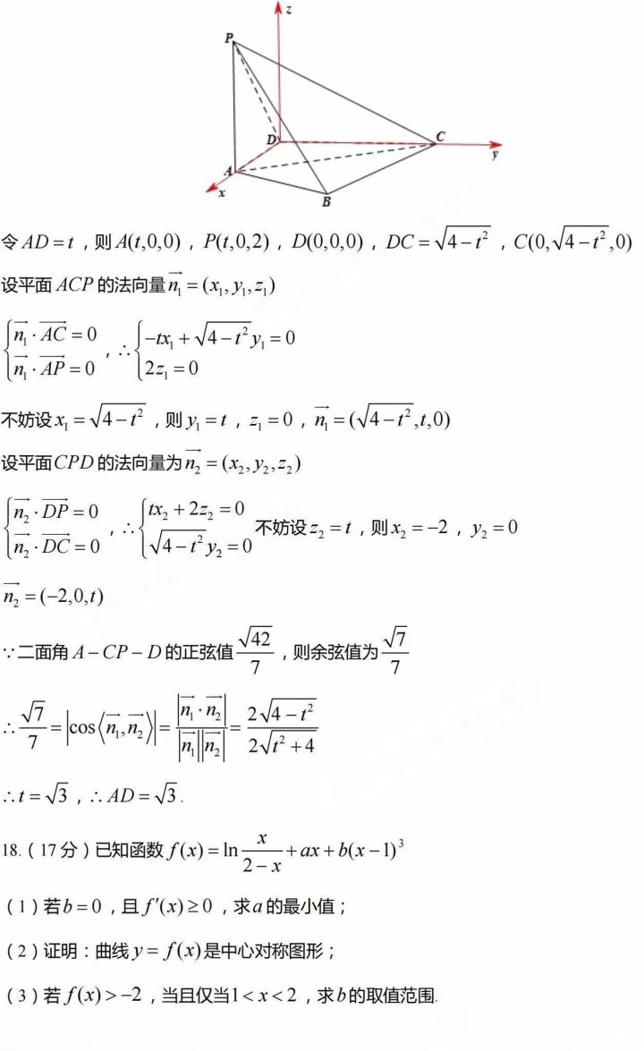
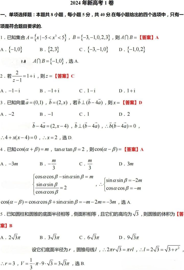
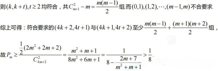
2、2024年高考新高考一卷数学答案及试题解析
数学科目为高考第二堂考试,时间定于6月7日下午15:00-17:00,共计两小时。
小灯塔将在数学考试结束后,尽快为大家揭晓2024高考新高考一卷数学答案及试卷真题。

















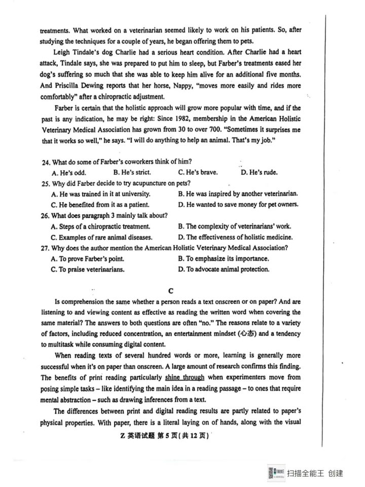
3、2024年高考新高考一卷英语答案及试题解析
2024年高考英语考试设置在6月8日15点开考,于17点结束,共计两小时。新高考一卷英语试卷及答案将会马上公布,届时请大家保持平和的心态,以积极的心态去面对结果。















声明:网站中发布的内容转载于网络,文章中如有涉及到广告信息请自行甄别。如有侵权请联系网站管理员,第一时间删除!发布者:洛克,转转请注明出处:https://www.lookwechat.com/4480.html