2024年高考中有三种考试模式,分别为传统高考模式、新高考3+1+2模式、新高考3+3模式。其中福建在2024年实行的是新高考3+1+2模式,考试时间为6月7-9日,共计三天。小灯塔在下文汇总了2024福建高考答案及试卷,包含语数英等九门科目,供参考。
一般来说,高考试卷及官方答案会在高考结束后的一至两周内公布。但由于时间紧迫,许多考生想早点着手准备高考志愿填报,所以为帮助各位考生预测高考成绩,本文中的试卷答案是根据考生考后回忆、网上搜集而成的,仅供参考。

一、2024福建高考语文答案及试卷真题
考试时间:6月7日星期五9:00-11:30
分值:150分
试卷答案:小灯塔将在语文考试结束后,立即上传福建2024高考语文试卷及答案解析,请大家保持耐心,安心等待片刻。







二、2024福建高考数学答案及试卷真题
考试时间:6月7日星期五15:00-17:00
分值:150分
试卷答案:

















三、2024福建高考物理/历史答案及试卷真题
考试时间:6月8日星期六9:00-10:30
分值:满分100分(考生需选择物理或历史作为首选科目)
试卷答案:关于2024福建高考物理/历史试卷及答案,小灯塔将在考试结束后的第一时间上传,请大家稍等片刻。
物理:

历史:


四、2024福建高考英语答案及试卷真题
考试时间:6月8日星期六15:00-17:00
分值:150分
试卷答案:















五、2024福建高考答案及试卷真题(选考科目)
考生需从化学、生物、地理、政治四门科目中任选两门作为“再选科目”,并参与该科目的高考。
化学考试时间:6月9日星期天8:30-9:45
地理考试时间:6月9日星期天11:00-12:15
政治考试时间:6月9日星期天14:30-15:45
生物考试时间:6月9日星期天17:00-18:15
分值:每科满分均为100分,其分数是以等级赋分后的成绩计入总成绩。
试卷答案:小灯塔将在考后及时发布2024年福建高考化学、生物、政治、地理试卷及答案,请同学们以平和、自信的心态耐心等待答案的出炉。

















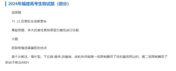
生物:


六、2024福建高考成绩查询时间
福建2024年高考成绩预计将于6月24日公布,届时考生可前往本省教育厅、教育考试院等官方平台进行查询本人高考分数。
查询成绩时,请确保网站安全,核对个人信息无误;如若遇到网络延迟,请考生和家长耐心等待。成绩公布后,建议考生及时保存截图或打印成绩单,并据此规划后续的志愿填报。
声明:网站中发布的内容转载于网络,文章中如有涉及到广告信息请自行甄别。如有侵权请联系网站管理员,第一时间删除!发布者:洛克,转转请注明出处:https://www.lookwechat.com/4415.html