2025年八省联考包括:山西、河南、陕西、内蒙古、四川、云南、宁夏、青海。2025年八省联考的一分一段表格及录取批次线数据尚未公布,一旦数据公布,本文将及时更新相关内容。考生及家长应保持耐心并密切关注官方公告。

一、2025年八省联考一分一段表格
1.四川一分一段表
(图片较长,需滑动查阅)
(1)物理类























(2)历史类





















2.河南一分一段表
(图片较长,需滑动查阅)
















3.云南一分一段表
八省联考云南一分一段表格及录取批次线尚未公布。由省教育考试院或相关官方机构发布。一旦数据公布,本文将及时更新相关内容。
4.陕西一分一段表
(图片较长,需滑动查阅)
(1)物理类

(2)历史类

5.山西一分一段表
(图片较长,需滑动查阅)



6.内蒙古一分一段表
八省联考内蒙古一分一段表格及录取批次线尚未公布。由省教育考试院或相关官方机构发布。一旦数据公布,本文将及时更新相关内容。
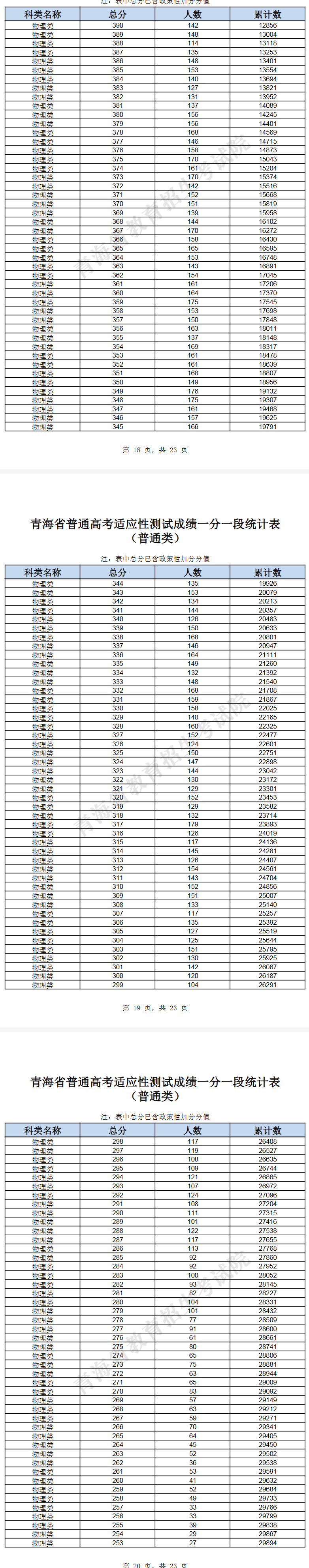
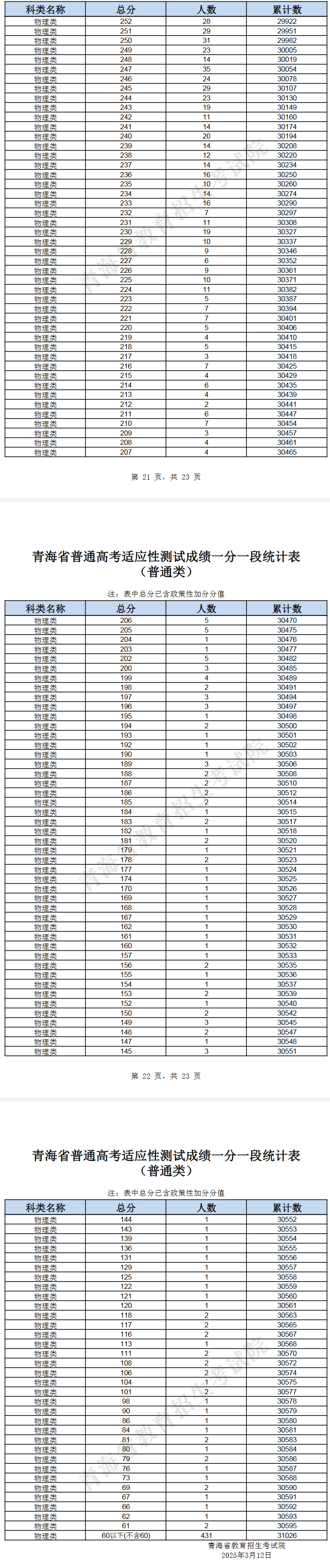
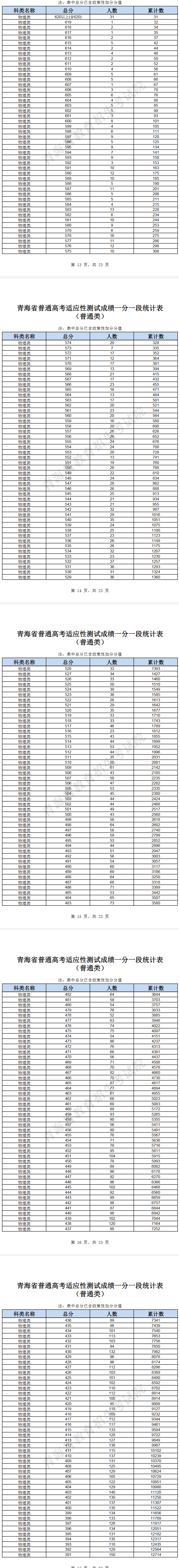
7.青海一分一段表
(1)物理类
(图片较长,需滑动查阅)



(2)历史类
(图片较长,需滑动查阅)



8.宁夏一分一段表
八省联考宁夏一分一段表格及录取批次线尚未公布。由省教育考试院或相关官方机构发布。一旦数据公布,本文将及时更新相关内容。
二、2025八省联考本专科分数线预估
以下是对2025年八省联考各省本科、专科录取批次线的预估,仅供参考:
| 省份 | 本科线 (历史类) |
本科线 (物理类) |
专科线 |
|---|---|---|---|
| 河南 | 约454分 | 约436分 | 均为180-190分 |
| 四川 | 约450-460分 | 约440-450分 | 均为200分左右 |
| 云南 | 约430分 | 约370分 | 均为200分左右 |
| 陕西 | 约477分 | 约422分 | 均为150分 |
| 青海 | 约420分 | 约390分 | 均为120分 |
| 宁夏 | 约400-405分 | 约360-385分 | 均为200分左右 |
| 内蒙古 | 约400分 | 约380分 | 均为160分左右 |
| 山西 | 约400分 | 约370分 | 均为200分左右 |
注意事项
数据变动:以上预估数据仅供参考,实际录取批次线可能会因多种因素(如考试难度、招生计划调整等)而有所变动。
关注官方公告:建议考生及家长密切关注各省教育考试院或相关官方机构的公告,以获取最新的录取批次线及一分一段表格信息。
合理评估:考生应根据自己的实际情况和模拟考试成绩,合理评估自己的录取可能性,并制定相应的备考和志愿填报策略。
声明:网站中发布的内容转载于网络,文章中如有涉及到广告信息请自行甄别。如有侵权请联系网站管理员,第一时间删除!发布者:李磊老师,转转请注明出处:https://www.lookwechat.com/49800.html