2025年青海八省联考也就是新高考适应性考试的分数线暂未公布,预计本科线历史类420分、物理类390分,成绩排名表为:历史类590分对应36名、550分对应197名;物理类600分对应101名、550分对应788名。

一、2025青海八省联考分数线
2025年青海新高考适应性考试的分数线会在3月份公布,目前只能进行分数线的预估。
因为本次考试是青海2025届考生第一次参加的适应性考试,也是青海与其余第五批新高考地区第一次正式联合进行新高考模式测试,因此,整体的分数线应该不会很高,基本在往年高考分数线的基础上有所浮动,具体的分数线预估如下:
特控线:历史类500分、物理类490分
本科线:历史类420分、物理类390分
专科线:120分
注:以上均为个人预测,具体的分数线划线情况以官网公布为准,预测仅供参考。
二、2025青海八省联考成绩排名表
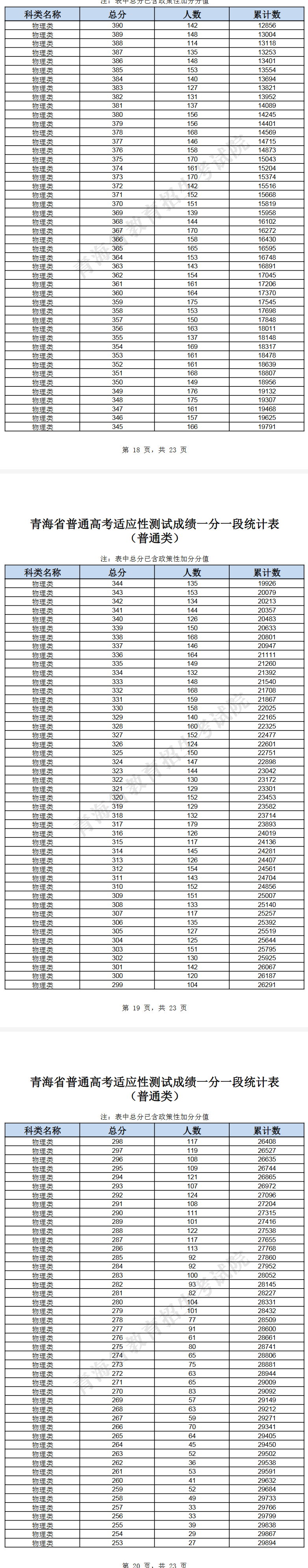
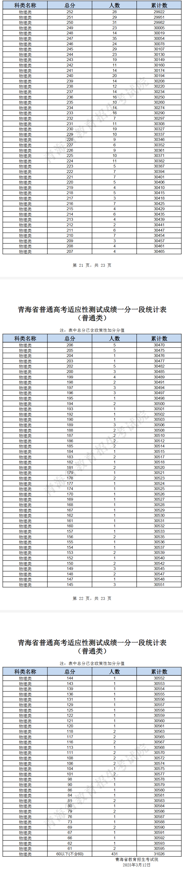
成绩排名指的就是分数对应的位次,2025年青海八省联考的一分一段表已经公布,具体如下:
历史类(滑动查看):
590分对应36名、550分对应197名、500分对应729名、450分对应2001名、400分对应4746名。



物理类(滑动查看):
600分对应101名、550分对应788名、500分对应2560名、450分对应5993名、400分对应11522名。



注:分数公布后,大家可以通过本文末尾的输入框进入圆梦志愿,不仅能模拟志愿填报,还可以查看根据近三年真实录取数据总结出的与分数相匹配的所有大学及专业。
三、青海2025新高考模式解析
1.“3+1+2”科目设置
模式说明:
“3”:语文、数学、外语(含听力)为统考科目,每科150分,使用原始分计入总分。
“1”:从物理、历史中任选1门为首选科目,满分100分,以原始分计入总分。
“2”:从化学、生物、政治、地理中任选2门为再选科目,满分各100分,通过等级赋分后计入总分。
选科策略建议:
理工农医类:推荐“物理+化学+X”(部分高校专业要求必选化学)。
人文社科类:推荐“历史+政治/地理+X”,注意部分专业对政治有要求(如法学、思政)。
2.等级赋分规则与总分构成
赋分科目:化学、生物、政治、地理4科。
赋分方式:根据考生卷面分在全省排名比例,按“5等21级”转换(A等级15%、B等级35%、C等级35%、D等级13%、E等级2%),赋分区间为30-100分。
示例:若某考生政治卷面分75分,排名全省前15%,则赋分后可能为86分。
总分构成:总分=语文+数学+外语+物理/历史(原始分)+再选科目1(赋分)+再选科目2(赋分),满分为750分。

3.院校专业组模式与批次调整
(1)志愿单位与填报规则
志愿单位:以“院校专业组”为单位填报,每个专业组包含若干相近专业,选科要求相同。
填报数量:预计本科批可填报40-50个志愿(参考其他新高考省份),采用“平行志愿”模式。
调剂范围:考生若勾选“服从调剂”,仅在同专业组内调剂,避免跨组调剂风险。
(2)批次合并与分段录取
批次调整:取消原一本、二本批次,合并为“本科批”;保留提前批(军校、公费师范生等)。
分段录取:按考生总分排名分段填报志愿(如前20%为第一段),增加录取机会,减少高分落榜风险。
(3)录取规则
平行志愿原则:分数优先、遵循志愿、一次投档。
同分排序:若总分相同,依次按语文数学总分、语文/数学单科最高分、外语分、首选科目分、再选科目最高分排序。
声明:网站中发布的内容转载于网络,文章中如有涉及到广告信息请自行甄别。如有侵权请联系网站管理员,第一时间删除!发布者:李磊老师,转转请注明出处:https://www.lookwechat.com/49787.html