2025年河南将进行首届新高考,再选科目“生物、化学、政治、地理”将采用赋分制计分,即先将原始分数按照等级转换公式转换为等级分,再将其计入高考总分。其中等级转换的方法主要使用的等级表区间换分法。

一、河南2025新高考“3+1+2”模式
河南新高考“3+1+2”模式具体指:
“3”为语文、数学、外语三门全国统一高考科目,每门满分150分,其中外语科目满分150分,包括听力部分30分和笔试部分120分(2025年、2026年听力成绩暂不计入总分,外语成绩以笔试成绩的1.25倍计入;从2027年起,听力成绩计入总分)。
“1”为首选科目,考生需在物理、历史两门科目中选择一门作为首选考试科目,满分100分,使用原始成绩计入总成绩。
“2”为再选科目,考生需在化学、生物学、思想政治、地理四门科目中选择两门作为再选考试科目,每门满分100分,以等级转换分计入总成绩。

二、新高考等级赋分规则
等级赋分是河南新高考改革中的一项重要举措,旨在解决不同科目之间难度差异和考生群体不同导致的原始分不可比问题。
而等级赋分的转换方法为区间换分法,本质上就是比照等级赋分表,取分数对应的表格区间数值代入公式即可。具体规则如下:
划分等级:首先,将各选考科目的考生按照原始分从高到低进行排序,然后根据考生原始分的统计分布,按一定的人数比例将该选考科目考生群体划分为A、B、C、D、E五个等级。
各等级人数所占比例分别约为15%、35%、35%、13%和2%。
等级赋分:在划分等级后,进行等级赋分。等级分数的满分值为100分,起点分值为30分。从A至E每个等级按照1分1档的分数间隔进行连续赋分,各个等级的等级赋分区间从15分到11分不等。
具体来说,A等级对应100~86分,B等级对应85~71分,C等级对应70~56分,D等级对应55~41分,E等级对应40~30分。
下面是具体的等级赋分表:

三、等级赋分计算公式
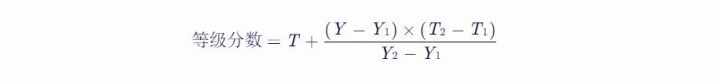
等级赋分的计算采用等比例转换方法,具体公式如下:

其中:
Y1、Y2 分别表示某等级所对应原始分数区间的下限和上限。Y 表示某考生的原始分数。T1、T2 分别表示等级赋分区间的下限和上限。T 表示考生的等级分数。
根据这个公式,结合每个考生的原始分数及其所在等级的等级赋分区间,可以计算出每个考生的等级分数。
声明:网站中发布的内容转载于网络,文章中如有涉及到广告信息请自行甄别。如有侵权请联系网站管理员,第一时间删除!发布者:洛克,转转请注明出处:https://www.lookwechat.com/4696.html