新高考省份将每个科目考生的原始成绩从高到低排列,按一定比例划分成A、B、C、D、E五个等级,各等级人数所占比例分别约为15%、35%、35%、13%和2%,对应的分数区间分别为100~86、85~71、70~56、55~41、40~30。

一、新高考3+1+2怎么赋分?
新高考“3+1+2”模式中的“3”指语文、数学、外语3门统一高考科目,每科满分150分,以原始成绩计入考生总成绩;“1”指物理或历史科目,满分100分,以原始成绩计入考生总成绩;“2”指思想政治、地理、化学、生物学4门再选科目,每科满分100分,以等级分计入考生总成绩。等级赋分的具体步骤如下:
1、确定赋分区间:将每个科目考生的原始成绩从高到低排列,按一定比例划分成A、B、C、D、E五个等级,各等级人数所占比例分别约为15%、35%、35%、13%和2%,对应的分数区间分别为100~86、85~71、70~56、55~41、40~30。
2、确定原始分数区间:与赋分区间相对应,以每个科目实际参加考试的人数及其得分来确定原始分数区间。
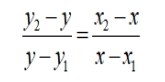
3、进行等级转换:利用公式进行计算。设原始分数区间最大值与原始分之差为R,原始分与原始分数区间最小值之差为r,赋分区间最大值为A,最小值为a,赋分成绩为未知数t,其余均为已知数。赋分公式为
,经过计算,四舍五入取整即可得出值,即转换后的等级赋分成绩。
二、全国各省等级赋分对照表
1、青海
1、等级赋分步骤。我省再选科目考试原始分数满分各为100分。首先,将考生原始分数从高到低依次划分为A、B、C、D、E共五个等级,各等级人数占参加该科目考试人数比例依次为15%、35%、35%、13%和2%;其次,将A至E等级内的考生原始分数等比例转换到100~86分、85~71分、70~56分、55~41分、40~30分五个赋分区间;然后,根据等比例转换公式计算,四舍五入取整得到考生的等级赋分分数。
2、等级赋分公式及示例。等比例转换公式为:

其中,Y表示某考生的原始分数;Y1、Y2分别表示原始分区间的最低分和最高分;F表示该考生的等级赋分分数;F1、F2分别表示赋分区间的最低分和最高分。例如:考生某再选科目考试原始分数为87分,划分至A等级,当年该学科A等级原始分区间为95~84分,赋分区间为100~86分,经计算四舍五入取整后,考生该学科的等级赋分分数为90分。
青海省普通高中学业水平选择性考试再选科目人数比例及原始分等级和赋分区间表

2、四川
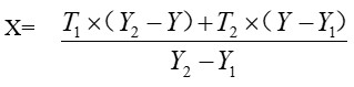
等级赋分以30分作为赋分起点,满分为100分。将思想政治、地理、化学、生物每门选择性考试科目考生的原始分从高到低划分为A、B、C、D、E共5个等级,各等级人数所占比例分别约为15%、35%、35%、13%和2%。将A至E等级内的考生原始成绩,按照等比例转换规则,转换到100~86,85~71,70~56,55~41和40~30五个分数区间,根据转换公式计算,四舍五入取整数得到考生的等级转换分。转换后的成绩1分1档,考生排序不变。
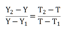
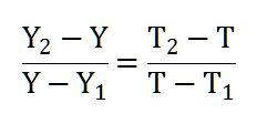
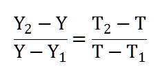
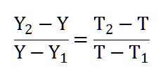
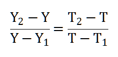
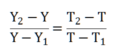
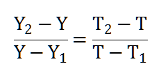
例如,假设某同学化学学科卷面分为75分,按照卷面分排序,等级比例应划分到B等级,而该学科B等级的卷面分分布区间为80~64,等级分区间为85~71,按照转换公式:

其中,Y1、Y2分别表示某个等级所对应卷面分区间的下限和上限;T1、T2分别表示相应等级的等级分赋分区间的下限和上限;Y表示相应等级内某考生的卷面分;T表示相应等级内某考生的等级转换分;当Y=Y1时,T=T1。
3、宁夏
(一)成绩呈现。选择性考试科目成绩以分数呈现,每门满分均为100分。其中,首选科目以原始分呈现,再选科目以原始分换算后的等级分呈现。
(二)成绩换算。思想政治、地理、化学、生物学4门科目每科原始成绩满分为100分,等级赋分以30分作为赋分起点,满分为100分。转换时将考生原始成绩从高到低划分为A、B、C、D、E共5个等级,各等级人数所占比例分别约为15%、35%、35%、13%和2%。将A至E等级内的考生原始分,按照确定比例,依照转换公式,分别转换到100~86、85~71、70~56、55~41、40~30五个分数区间(具体等级比例和赋分区间见附件),四舍五入取整后得到考生的等级分。每科计算等级转换的考生人数即转换基数,是实际参加该科目考试并取得有效成绩的人数。
等级转换公式:


其中:Y1、Y2分别表示某等级原始分数区间的下限和上限;Y表示某等级内某考生的原始分;
T1、T2分别表示相应等级赋分区间的下限和上限;T表示相应等级内某考生的等级分。
考生原始成绩正好为原始分数区间上限或下限时,不需要按转换公式计算,相应赋分区间的上限或下限分数即为该考生的等级分。
4、内蒙古
以30分作为等级转换分数的赋分起点,满分100分。转换时先按照考生选择性考试再选科目的卷面原始分分布情况,将考生卷面原始分从最高分到最低分依次按照15%、35%、35%、13%和2%的比例分别划分为A、B、C、D、E共5个等级,然后再按照等比例转换规则将卷面原始分对应的相应等级分别转换到100~86,85~71,70~56,55~41和40~30五个分数区间,根据线性转换公式计算得到相应科目的等级转换分数,一分一档,考生等级转换分数排序和卷面原始分排序不变。具体对应关系如下表:

具体转换公式为:

其中,
Y1、Y2分别表示某个等级所对应卷面原始分区间的下限和上限;
T1、T2分别表示相应等级的等级转换分数区间的下限和上限;
Y表示相应等级内某考生的卷面原始分;
X表示相应等级内某考生的等级转换分数。
根据此公式,即可算出每个考生的等级转换分数。
5、广西
(一)等级划分。每门科目按照考生的原始分数从高到低划定为A、B、C、D、E五个等级,各等级人数所占比例分别为15%、35%、35%、13%和2%,将考生的原始分数转换成等级。转换基数为实际参加该科目考试并取得有效成绩的人数。
(二)分数转换。成绩转换时以30分作为赋分起点,满分为100分。将A至E五个等级内的考生原始分数,依照等比例转换方法,分别对应转换到100~86、85~71、70~56、55~41和40~30五个分数区间,得到考生的等级转换分数。等级转换分数计算结果按“四舍五入”进行处理,以整数呈现。等级转换分数一分一档,与原始分数排序保持不变。
1.转换对应表。

2.转换公式。

说明:y1、y2分别表示某等级原始分数区间的下限和上限;x1、x2分别表示相应等级的转换分数区间的下限和上限;y表示考生的原始分数,x表示转换后考生的等级转换分数。考生原始分数正好为原始分数区间上限或下限时,不需要按转换公式计算,相应的转换分数区间的上限或下限分数即为该考生的等级转换分数。
6、山西
转换规则
某一选择性考试再选科目的考生成绩,转换时赋分起点为30分,满分100分。具体转换步骤如下:

第一步,将该科目考生卷面原始分从高到低依次按照15%、35%、35%、13%和2%的比例划分为A、B、C、D、E共5个等级,考生的原始分转换成等级。缺考、零分考生人数不计入转换基数,违纪或作弊考生计入转换基数,但转换后的成绩按零分计。
第二步,将A至E五个等级内的考生原始分,按照等比例转换规则,转换到100~86,85~71,70~56,55~41和40~30五个分数区间,根据转换公式计算,四舍五入取整数得到考生的等级转换分。转换后的成绩一分一档,考生排序不变。

其中:
Y1、Y2分别表示某个等级所对应卷面原始分区间的下限和上限;
T1、T2分别表示相应等级的等级转换分数区间的下限和上限;
Y表示相应等级内某考生的卷面原始分;
X表示相应等级内某考生的等级转换分数。
7、云南
(一)原始分转换为等级。将每个选考科目考生的原始分从高到低顺序排列,划分为A、B、C、D、E共5个等级,各等级人数所占比例分别为15%、35%、35%、13%和2%(见等级分换算对应表),从而将考生的原始分转换成等级。每个考生的等级由其在该选考科目群体的排位确定。
(二)等级转换为等级分。等级赋分以30分作为赋分起点,满分为100分。从A至E每个等级按照1分1档的分数间隔对各个等级进行赋分,将A至E等级内的考生原始成绩,依照等比例转换法则,分别转换到100~86分、85~71分、70~56分、55~41分、40~30分5个等级分数区间(见等级分换算对应表)。每门选考科目等级分的转换基数为实际参加该选考科目考试并取得有效成绩(即缺考或0分考生除外)的人数。根据转换公式,四舍五入得到考生的等级分。转换后的等级分1分1档,考生排序不变。
1.等级换算对应关系。各等级及其所占人数比例、等级分赋分区间对应关系如表所示。
等级分换算对应表

2.等级分换算公式。根据等比例转换法则计算每个考生等级分的公式为:

其中,Y1、Y2分别表示某等级原始分数区间的最低分和最高分;
T1、T2分别表示相应等级的赋分区间的最低分和最高分;
Y表示考生的原始成绩;
X表示考生转换后的等级分。

考生原始成绩正好为原始分数区间最高分或最低分时,不需要按转换公式计算,相应赋分区间的最高分或最低分即为该考生的等级成绩。在考生原始分数转换成等级分的过程中,考生在相应选考科目考生群体中的排序不会发生变化。
8、贵州
(一)将每个选考科目的考生群体卷面分转换为等级。把每个选考科目考生群体的卷面分从最高分到最低分顺序排列,按照考生群体卷面分的统计分布所确定人数比例(见等级分换算对应表)将该选考科目考生群体划分为5个群体,每个群体考生赋予1个等级,整个考生群体的卷面分被转换为从高到低A、B、C、D、E共5个等级,每个考生的等级由其在该选考科目群体的排位确定。
(二)将等级转换为等级分。等级分的满分值为100分、起点分值为30分,从A至E每个等级按照1分1档的分数间隔对各个等级进行连续赋分,各个等级的等级分赋分区间从14到10分不等(见等级分换算对应表)。依此,把每个选考科目考生群体的等级成绩从高到低(从A到E)转换为100至30分的等级分数,每个等级分数都在一定的等级分区间内。根据每个考生的卷面分数及其所在等级的等级赋分区间,运用等比例转换法则将其卷面分换算成等级分。在A、B、C、D、E的每个等级内卷面分不同的考生,根据等比例转换法则可计算得出不同的等级分,从而确保卷面分较高的考生换算得到较高的等级分
1.等级换算对应关系。各等级及其所占人数比例、等级分赋分区间对应关系如表所示。

2.等级分换算公式。根据等比例转换法则计算每个考生等级分的公式为:

其中,X1、X2分别表示某个等级所对应卷面分区间的下限和上限;
Y1、Y2分别表示相应等级的等级分赋分区间的下限和上限;
X0表示相应等级内某考生的卷面分;
Y0表示相应等级内某考生的等级分。
根据公式,可以算出每个考生的等级分。
9、河南
1.等级换算对应关系。各等级及其所占人数比例、等级分赋分区间对应关系如下表所示。
表1.具体等级比例和赋分区间

2.等级分换算公式。等级转换的具体公式为:

其中:
Y1、Y2分别表示原始分区间的下限和上限;
T1、T2分别表示等级赋分区间的下限和上限;
X0表示相应等级内某考生的卷面分;
Y0表示相应等级内某考生的等级分。
根据公式,可以算出每个考生的等级分。
10、福建
成绩呈现
物理、历史原始分满分各为100分,采用原始分计入高校招生录取总成绩。
思想政治、地理、化学、生物原始分满分各为100分,以等级转换分计入高校招生录取总成绩。每科在转换时,以30分作为等级转换分的赋分起点,等级转换分满分为100分。将每科考生的原始分从高到低划分为A、B、C、D、E共5个等级,各等级人数所占比例分别为15%、35%、35%、13%和2%。将A至E等5个等级内的考生原始分,依照等比例转换原则,分别转换到100~86分、85~71分、70~56分、55~41分和40~30分五个分数区间,得出考生的等级转换分。每科计算等级转换的考生人数即转换基数,具体为实际参加该科目考试的人数,不含因违纪作弊被取消该科成绩的考生。
11、广东
(一)将每个选考科目的考生群体卷面分转换为等级。把每个选考科目考生群体的卷面分从最高分到最低分顺序排列,按照考生群体卷面分的统计分布所确定人数比例(见表1)将该选考科目考生群体划分为5个群体,每个群体考生赋予1个等级,整个考生群体的卷面分被转换为从高到低A、B、C、D、E共5个等级,每个考生的等级由其在该选考科目群体的排位确定。
(二)将等级转换为等级分。等级分的满分值为100分、起点分值为30分,从A至E每个等级按照1分1档的分数间隔对各个等级进行连续赋分,各个等级的等级分赋分区间从17到10分不等(见表1)。依此,把每个选考科目考生群体的等级成绩从高到低(从A到E)转换为100至30分的等级分数,每个等级分数都在一定的等级分区间内。根据每个考生的卷面分数及其所在等级的等级赋分区间,运用等比例转换法则将其卷面分换算成等级分。在A、B、C、D、E的每个等级内卷面分不同的考生,根据等比例转换法则可计算得出不同的等级分,从而确保卷面分较高的考生换算得到较高的等级分。
1.等级换算对应关系。各等级及其所占人数比例、等级分赋分区间对应关系如表1所示。
表1等级分换算对应表

2.等级分换算公式。根据等比例转换法则计算每个考生等级分的公式为:

12、重庆
转换分是按统一规则,由原始分进行等级划定后,再由等级转换而来的分数。再选科目成绩转换时,每科赋分起点均为30分,满分为100分。
具体转换规则和步骤如下:第一步,按照考生原始分从高到低划定A、B、C、D、E共五个等级,各等级人数所占比例分别约为15%、35%、35%、13%和2%。第二步,将A至E五个等级内的考生原始分,依照等比例转换法则,分别对应转换到100~86、85~71、70~56、55~41和40~30五个分数区间,通过转换公式计算得到考生的转换分,转换分均保留整数,在小数点后一位进行“四舍五入”。
转换公式、转换示意图及示例
转换公式

其中:
Y1,Y2分别表示原始分区间的下限和上限;
X1,X2分别表示转换分区间的下限和上限;
Y表示原始分,X表示转换分;
当Y=Y1时,则X=X1。
转换示意图及示例

13、浙江
经多次专家研究、多方论证,将原赋分办法的21个等级划分为20个赋分区间,赋分分差由3分细化为1分。原先的第1(1%,100分)、第2(2%,97分)两个等级合并为1个赋分区间,其余不变。第1区间为100-97,第2区间为96-94,第3区间为93-91,以此类推,第20区间为42-40。

具体步骤为:
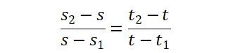
第一步,将卷面得分按人数比例划分为20个赋分区间,得出每个区间卷面得分的上限、下限。
第二步,对每个区间的卷面得分进行等比例转换,公式为:

其中,s2、s1为卷面得分区间的上限和下限,s为待转换卷面得分;t2、t1为赋分区间的上限和下限,t为卷面得分等比例转换后的赋分。
第三步,将转换结果四舍五入后即为等级赋分。
14、湖南
等级分是按统一规则,由原始分进行等级划定后,再由等级转换而来的分数。
再选科目每科原始分满分为100分,转换时以30分作为等级转换的赋分起点,满分100分。首先,将每门选择考再选科目考生的原始分从高到低划分为A、B、C、D、E共5个等级,各等级人数所占比例分别约为15%、35%、35%、13%和2%,从而将考生的原始分转换成了等级。然后,将A至E等级内的考生原始分,依照等比例转换原则,分别转换到100~86、85~71、70~56、55~41和40~30五个分数区间(见下表),得到考生的等级分。转换基数为实际参加该科目选择考取得有效成绩的考生数。等级分计算结果按“四舍五入”的规则以整数呈现。
表:具体等级比例和赋分区间

15、江西
根据我省新高考规则,再选科目思想政治、地理、化学、生物学以转换后的分数计入高考总成绩,满分为100分。每科在转换时,以30分作为等级转换的赋分起点,将考生每门再选科目考试的原始成绩从高到低划定为A、B、C、D、E五等,各等级人数所占比例分别为15%、35%、35%、13%和2%。转换时,将A至E等级内的考生原始成绩,分别转换到100~86分、85~71分、70~56分、55~41分、40~30分五个等级分数区间,根据转换公式计算,四舍五入取整得到考生的等级转换成绩。转换基数为实际参加该再选科目考试并取得有效成绩的人数。
16、海南
单科标准分转换
单科标准分包括:语文、数学、英语高考统考科目和思想政治、历史、地理、物理、化学、生物等6科普通高中学业水平选择性考试各科目的标准分。
根据标准正态分布常模量表,依照转换公式Ti=180+30×Zi,建立《标准分与百分等级对照表(单科)-分数区间[60,300]》。
(一)将学科全体考生的原始分数从大到小进行排序。
(二)计算小于或等于每个分数Xi的考生占该学科考生总数的百分比,从而求出每个分数Xi的百分等级Ri。
(三)查《标准分与百分等级对照表(单科)-分数区间[60,300]》,得到每个分数百分等级Ri对应的单科标准分Ti。
综合分转换
综合分是考生高考统考科目的标准分和选择性考试科目的标准分根据各自的权重加总后转换的标准分。
根据标准正态分布常模量表,依照转换公式Ti=500+100×Zi,建立《标准分与百分等级对照表(综合分)-分数区间[100,900]》。
(一)按照语文、数学、英语各科权重为1.5,其他各科目权重为1,计算每个考生的合成总分,计算公式为:
t=1.5×Tyw+1.5×Tsx+1.5×Tyy+Tx1+Tx2+Tx3
其中,Tyw、Tsx、Tyy、Tx1、Tx2、Tx3分别为语文、数学、英语、选考科目1、选考科目2和选考科目3的单科标准分。
(二)将全体考生的合成总分t从大到小进行排序。
(三)计算小于或等于每个合成总分ti的考生占考生总数的百分比,从而求出每个合成总分的百分等级Ri。
(四)查《标准分与百分等级对照表(综合分)-分数区间[100,900]》,得到每个合成总分百分等级Ri对应的综合标准分Ti。

17、河北
思想政治、地理、化学、生物学4门科目每科原始成绩为100分,转换后赋分成绩满分为100分,赋分起点为30分。转换时将各科目考生原始成绩从高到低划分为A、B、C、D、E共5个等级,各等级人数所占比例分别约为15%、35%、35%、13%和2%。各科目成绩计入考生总成绩时,将A至E等级内的考生原始成绩,按照事先确定的比例,依照转换公式,分别转换到100~86、85~71、70~56、55~41、40~30五个分数区间(表1),得到考生的赋分成绩。转换基数为实际参加该科目选择考的人数(不含缺考及因违纪作弊已被取消该科成绩的人数)。
表1:具体等级比例和赋分区间

等级转换的具体公式:

其中:
Y1、Y2分别表示原始分区间的下限和上限;
T1、T2分别表示转换分区间的下限和上限;
Y表示原始分;
T表示转换分。
考虑到高考分数都以整数呈现,故上述公式的计算结果需要进行“四舍五入”处理。
18、江苏
等级分是按统一规则,由原始分进行等级划定后,再由等级转换而来的分数。
对于某一再选科目,考生该科目的合格性考试成绩达到合格后,转换时赋分起点为30分,满分为100分。
具体转换规则和步骤如下:第一步,按照考生原始分从高到低划定A、B、C、D、E共五个等级,各等级人数所占比例分别约为15%、35%、35%、13%和2%,从而将考生的原始分转换成了等级。第二步,将A至E五个等级内的考生原始分,依照等比例转换法则,分别对应转换到100~86、85~71、70~56、55~41和40~30五个分数段,从而将考生的等级转换成了等级分。
19、安徽
对于某一再选科目,考生该科目的合格性考试成绩达到合格后,转换时赋分起点为30分,满分为100分。按照选择性考试科目考生的原始分从高到低划定A、B、C、D、E共5个等级,各等级人数所占比例分别约为15%、35%、35%、13%和2%。将A至E五个等级内的考生原始分,依照等比例转换原则,分别对应转换到100~86、85~71、70~56、55~41和40~30五个分数区间,得到考生的等级分。

(3)转换步骤
第一步,将同一门选择性考试科目考生的原始分从高到低依次排序,按照分数转换参数表确定的等级比例,依次将考生的原始分划定A、B、C、D、E共5个等级,得到每个等级考生原始分的分布区间;
第二步,同一等级内,根据考生的原始分、所在等级的原始分区间和转换分区间,按照分数转换公式,计算得到考生的转换分。
(4)转换示意图及示例

20、吉林
我省选择性考试再选科目每科原始分满分为100分。转换分以30分作为赋分起点,满分100分。先将每科考生的原始分从高到低划分为A、B、C、D、E共5个等级,各等级人数所占比例分别为15%、35%、35%、13%和2%。再将A至E等5个等级内的考生原始分,依照等比例转换原则,分别转换到100~86分、85~71分、70~56分、55~41分和40~30分五个分数区间,得出考生的等级转换分。
21、辽宁
我省普通高中学业水平选择考再选科目每科原始分为100分。转换时以30分作为等级转换的赋分起点,满分100分。将每门选择考再选科目考生的原始分从高到低划分为A、B、C、D、E共5个等级,各等级人数所占比例分别约为15%、35%、35%、13%和2%。将A至E等级内的考生原始成绩,依照等比例转换原则,分别转换到100~86、85~71、70~56、55~41和40~30五个分数区间,得到考生的等级转换分。
等级赋分的优点是:一是能够较好解决再选科目之间分数不等值、学生选考科目分数不能直接相加参加高校招生录取的问题;二是等级区间比例依据我省往届考生的实际状况划定,符合我省省情;三是能够保持考生每门学科成绩排名顺序不变,确保成绩转换的公平公正;四是能够最大限度保证考生的成绩具有良好的区分度,满足高校人才选拔需要。

22、甘肃
(1)等级赋分办法
再选科目每科原始分满分100分,转换时以30分作为等级转换的赋分起点,满分100分。将考生每门再选科目的原始成绩从高到低划定为A、B、C、D、E五个等级,各等级人数所占比例分别约为15%、35%、35%、13%和2%。转换时,将A至E等级内的考生原始成绩,依照等比例转换法则,分别转换到100-86分、85-71分、70-56分、55-41分、40-30分五个等级分数区间。根据转换公式计算,四舍五入取整得到考生的等级成绩。再选科目成绩计入高考总成绩的等级比例和赋分区间如下:

(2)等级赋分转换公式及计算举例

Y1、Y2分别表示某等级原始分数区间的下限和上限;X1、X2分别表示相应等级赋分区间的下限和上限;Y表示考生的原始成绩,X表示考生转换后的等级成绩。考生原始成绩正好为原始分数区间上限或下限时,不需要按转换公式计算,相应的赋分区间的上限或下限分数即为该考生的等级成绩。
23、山东
学业水平等级考试科目由学生在6门等级考试科目中自主选择3门组成,共有20种选考组合。由于科目特点、选考群体等差异,各科目原始成绩简单相加会造成学科之间不公平。我省采取等级分数的表达方式,将每门等级考试科目考生的原始成绩从高到低划分为A、B+、B、C+、C、D+、D、E共8个等级区间,参照正态分布原则,确定各等级区间人数所占比例分别为3%、7%、16%、24%、24%、16%、7%、3%。等级考试科目成绩计入考生总成绩时,将A至E等级区间内的考生原始成绩,依照等比例转换法则,分别转换到91—100、81—90、71—80、61—70、51—60、41—50、31—40、21—30八个分数区间,得到考生的等级成绩,并计入总分参与录取。每科等级成绩本质上是考生的位次成绩,主要由考生在科目内所处位次决定,原始成绩进行等级转换后,排名顺序不变。
24、陕西
第一步是划定等级。将每门科目按照考生的原始分数从高到低划分为A、B、C、D、E共五个等级,各等级人数所占比例分别约为15%、35%、35%、13%和2%,将考生的原始分数转换成等级。转换基数为我省当年实际参加该科目考试并取得有效成绩的人数,缺考、零分考生人数不计入转换基数。
第二步是进行等级赋分。综合考虑赋分的均衡性和尽可能大的区分度,我省以30分作为赋分起点,满分为100分,将A、B、C、D、E五个等级内的考生原始分数,依照等级比例转换方法,分别对应转换到100~86、85~71、70~56、55~41和40~30五个分数区间,得到考生以等级赋分转换后的分数。
各等级及其所占人数比例、赋分区间对应关系如下表所示。
等级比例和赋分区间表

根据等级比例转换方法计算每个考生等级赋分的公式为:

其中:Y1、Y2分别表示某等级所对应原始分数区间的下限和上限;Y表示某等级内某考生的原始分数;
F1、F2分别表示相应等级赋分区间的下限和上限;F表示相应等级内某考生以等级赋分转换后的分数。
考生原始分数正好为原始分数区间上限或下限时,不需要按等级赋分公式计算,相应等级赋分区间的上限或下限分数即为该考生以等级赋分转换后的分数。
声明:网站中发布的内容转载于网络,文章中如有涉及到广告信息请自行甄别。如有侵权请联系网站管理员,第一时间删除!发布者:李磊老师,转转请注明出处:https://www.lookwechat.com/11148.html